INTRODUCCION
Este
trabajo habla de la diferenciación e integración numérica y se muestran
diversos métodos para la resolución de problemas relacionados con la vida
cotidiana. Se explican algunas técnicas de aproximación para la resolución de
diferenciales como lo son la formula de diferencia progresiva y regresiva, la
formula de tres puntos y la formula de cinco puntos, cada una detallada con
ejemplos sencillos para su fácil comprensión. También se discuten métodos
desarrollados específicamente para el problema formulado como una integral
definida. Hay varias razones para llevar a cabo la integración numérica. La
principal puede ser la imposibilidad de realizar la integración de forma
analítica. Los métodos que se abordan son: método del trapecio, métodos de
Simpson, integración de Romberg, método de cuadratura gaussiana.
OBJETIVO
Hacer una investigación detallada y
precisa de los métodos utilizados para la resolución de ejercicios de
diferenciación e integración numérica (derivadas e integrales), que por los
métodos analíticos no suelen tener resultado.
DESARROLLO
DE LA INVESTIGACION
A continuación se hace mención de
algunos de los métodos numéricos que se utilizan para la resolución de
problemas de diferenciación e integración numérica, explicándose con detalle
cada uno de ellos, así como mencionando ejemplos y aplicaciones de los mismos.
DIFERENCIACIÓN NUMÉRICA
Diferenciación numérica es una técnica de análisis numérico para producir una estimación del derivado de a función matemática o función subprograma usando valores de la función y quizás del otro conocimiento
sobre la función.
Una valoración simple del dos-punto es computar la cuesta de
un próximo línea
secante a
través de los puntos (x,f (x)) y (x+h,f (x+h)).
Elegir un número pequeño h, h representa un cambio pequeño adentro x, y puede ser positivo o
negativa. La cuesta de esta línea es
Esta expresión es Neutonios cociente de la diferencia.
La cuesta de esta línea secante diferencia de la cuesta de
la línea de la tangente por una cantidad a la cual sea aproximadamente
proporcional h. Como h los acercamientos ponen a cero, la
cuesta de la línea secante acercamientos la cuesta de la línea de la tangente.
Por lo tanto, el verdad derivado de f en x es el límite del valor del cociente de
la diferencia mientras que las líneas secantes consiguen cada vez más cerca de
ser una línea de la tangente:
Desde inmediatamente el
sustituir 0 para h resultados adentro división por cero.
Una valoración simple del tres-punto es computar la cuesta
de una línea secante próxima a través de los puntos (x-h,f (x-h))
y (x+h,f (x+h)). La cuesta de esta línea es
Más generalmente, la valoración del tres-punto utiliza la
línea secante a través de los puntos (x − h1,f(x − h1)) y(x + h2,f(x + h2)). La
cuesta de esta línea es
La cuesta de estas líneas secantes diferencia de la cuesta
de la línea de la tangente por una cantidad a la cual sea aproximadamente
proporcional h2 de modo que la valoración del tres-punto sea una
aproximación más exacta a la línea de la tangente que la valoración del
dos-punto cuando h es pequeño.
A la ecuación 1 se le
conoce con el nombre especial en el análisis numérico, se le llama diferencias
divididas finitas.
Se puede representar
generalmente como:
Donde al diferencial se
le conoce como la primera diferencia hacia adelante y a h se le llama tamaño
del paso, esto es, la longitud del intervalo sobre el cual se hace la
aproximación. Se le llama diferencia " hacia adelante " ya que
usa los datos (i) e (i+1) para estimar la derivada. Al termino completo (o sea,
la diferencial entre h) se le conoce como primera diferencia dividida finita. Esta
diferencia dividida hacia adelante no es sino una de tantas que se pueden
desarrollar mediante la serie de Taylor para la aproximación de derivadas
numéricas. Por ejemplo, las aproximaciones a primeras
derivadas, utilizando las diferencias hacia atrás o las diferencias centrales
se pueden desarrollar de una manera similar a la de la ecuación 2.
Las primeras usan a, mientras x con sub-índice i+1 que las
segundas usan información igualmente espaciada alrededor del punto donde esta
estimada la derivada. Las aproximaciones más exactas de la primera derivada se
pueden desarrollar incluyendo en la serie de Taylor términos de orden más alto.
Finalmente, todas las versiones anteriores se pueden desarrollar para derivadas
de segundo orden, tercer orden y ordenes superiores. Las siguientes secciones
analizan brevemente estos casos, ilustrando como se deriva cada una de ellos.
Aproximación a la
primera derivada con diferencias hacia
atrás
La serie de Taylor se
puede expandir hacia atrás para calcular un valor anterior sobre el valor
actual, dado por:
Truncando la ecuación
después de la primera derivada y ordenando los términos se obtiene:
Donde los errores es 0
(h) y el diferencial indica la primer diferencia dividida hacia atrás.
Aproximaciones a la primera derivada con diferencias
centrales.
Una tercera forma de
aproximar la primera derivada es restar la ecuación 4 de la expansión en serie
de Taylor hacia adelante:
La ecuación es una representación de las diferencias centrales (o
centradas) de la primera derivada. Nótese que el error de truncamiento
es del orden de en contraste con las diferencias divididas hacia adelante y
hacia atrás, las cuales fueron de orden h. Por lo tanto, el análisis de la
serie de Taylor ha llevado a la información práctica de que la diferencia
central es la representación más exacta de la derivada. Por ejemplo, si se parte el tamaño del paso a la mitad usando diferencias
hacia atrás o hacia adelante, el error se reducirá aproximadamente a la mitad,
mientras que para diferencias centrales, el error se reduce a la cuarta parte.
Aproximaciones a derivadas de orden más alto usando diferencias finitas.
Junta a la primera
derivada, la expansión de la serie de Taylor se puede usar para una estimación
numérica de las derivadas de orden superior. Para hacerlo, se escribe una
expansión en la serie de Taylor hacia adelante para en términos de de la
siguiente forma:
A esta relación se le llama diferencias divididas finitas
hacia adelante de segundo orden. Se pueden usar procedimientos similares para
obtener las versiones hacia atrás y centrales. Las aproximaciones a tercer
orden de las diferencias divididas hacia adelante, hacia atrás y centrales
también pueden obtenerse (véase en fórmulas mas adelante). En todos los casos,
las diferencias centradas dan una mejor aproximación.
Todas las estimaciones
anteriores truncaron las estimaciones dadas por la serie de Taylor después de
algunos términos. Las fórmulas de mas exactitud se pueden desarrollar
incluyendo términos adicionales. Por ejemplo, la expansión hacia adelante
(Ecuación 6) se puede resolver para:
Nótese que la inclusión
del término con segunda derivada ha dado una exactitud. Se pueden desarrollar
versiones mejoradas similares para diferencias hacia atrás y centrales así como
para las aproximaciones de derivadas de orden superior.
Graficas de
aproximaciones con diferencias
divididas finitas
de la primera derivada.
de la primera derivada.
El azul es de aproximación y el verde
de la derivada verdadera
MÉTODO DE LA SECANTE POR
MEDIO DE DIFERENCIA DIVIDIDA.
Un problema fuerte en al
implementación del método de Newton-Raphson es el de la evaluación de la
derivada. Aunque esto no es un inconveniente para los polinomios y para muchas
otras funciones, existen algunas de estas cuyas derivadas pueden ser
extremadamente difíciles de evaluar. En estos casos, la
derivada se puede aproximar mediante una diferencia dividida, como se muestra
en la siguiente figura:
Fórmula de diferencia progresiva y regresiva.
DIFERENCIAS
FINITAS.
Sólo se consideran normalmente tres formas: la anterior, la
posterior y la central.
Una diferencia progresiva, adelantada o posterior es una expresión de la forma
Una diferencia progresiva, adelantada o posterior es una expresión de la forma
Dependiendo de la aplicación, el espaciado h se
mantiene constante o se toma el limite h → 0.
Una diferencia
regresiva, atrasada o anterior
Finalmente, la diferencia
central es la media de las diferencias anteriores y posteriores.
Relación con las derivadas
La derivación de la función f en un
punto x está definida por el límite
Si h tiene un valor fijado no nulo, en lugar
de aproximarse a cero, el término de la derecha es
Por lo tanto, la diferencia anterior dividida por h aproxima a la derivada cuando h es pequeño. El error de esta aproximación puede derivarse del teorema de Taylor. Asumiendo que f es continuamente diferenciable, el error es
La misma fórmula es válida en la diferencia posterior:
Sin embargo, la diferencia central lleva a una aproximación
más ajustada. Su error es proporcional al cuadrado del espaciado (si f es
dos veces continuamente diferenciable).
Cálculo de diferencias finitas
La diferencia anterior puede considerarse un operador
diferencial que hace corresponder la función f con Δf.
El teorema de Taylor puede expresarse por la fórmula
Donde D denota el operador derivada, que
hace corresponder f con su derivada. Formalmente, invirtiendo
la exponencial
Esta fórmula sigue siendo válida en el sentido de que ambos
operadores dan el mismo resultado cuando se aplican a un polinomio. Incluso
para funciones analíticas, las series de la derecha no convergen con seguridad,
sino que puede tratarse de una serie asintótica. Sin embargo, pueden emplearse
para obtener aproximaciones más precisas de la derivada. Por ejemplo, Los dos
primeros términos de la serie llevan a:
El error de la
aproximación es del orden de h2.
Las fórmulas análogas para los operadores posterior y central
son
Derivadas de órdenes mayores
De forma análoga se pueden obtener aproximaciones en
diferencias finitas para derivadas de orden mayor y operadores diferenciales.
Por ejemplo usando la fórmula de la diferencia central mostrada anteriormente
con un espaciado de h / 2 para:
Aplicando la fórmula de diferencia central a la derivada de
en x, obtenemos la aproximación de la diferencia central de la
segunda derivada de f:
Métodos de
diferencias finitas
Otro aspecto importante es que las diferencias finitas
aproximan cocientes diferenciales a medida que h se acerca a
cero. Así que se pueden usar diferencias finitas para aproximar derivadas. Esta
técnica se emplea a menudo en análisis numérico, especialmente en ecuaciones
diferenciales numéricas ordinarias, ecuaciones en diferencias y ecuación en
derivadas parciales. Los métodos resultantes reciben el nombre de métodos de diferencias finitas. Las
aplicaciones habituales de los métodos de diferencias finitas son en los campos
de la computación y áreas de la ingeniería como ingeniería térmica o mecánica
de fluidos.
FORMULA DE TRES PUNTOS
Supongamos que solo tenemos tres datos x0, x1, x2 igualmente
espaciados, es decir, con x1 = x0 +h, x2 = x0 + 2h.
Aplicando la fórmula anterior con tres puntos, para xj=x0,x1,x2 respectivamente, obtenemos las tres siguientes fórmulas (llamadas de "tres puntos")
Planteamiento
inverso
En primer lugar es necesario demostrar la existencia de
ligamiento entre los tres loci analizados. Suponiendo que se trata de un cruzamiento
prueba entre un triheterocigoto (AaBbCc) y un homocigoto recesivo (aabbcc) los
pasos que es necesario realizar para demostrar la existencia de ligamiento son
los siguientes:
A.
Comprobar mediante un c2 que el locus
A, a segrega correctamente: ½ A ½ a.
B.
Comprobar mediante un c2 que el locus
B, b segrega correctamente: ½ B ½ b.
C.
Comprobar mediante un c2 que el locus
C, c segrega correctamente: ½ C ½ c.
D. Comprobar
mediante un c2 que la segregación combinada de los loci A, a y B, b
no se ajusta a la
esperada en caso de independencia (¼ AB, ¼ Ab, ¼ aB, ¼
ab).
E.
Comprobar mediante un c2 que la
segregación combinada de los loci A, a y C, c no se ajusta a la
esperada en
caso de independencia (¼ AC, ¼ Ac, ¼ aC, ¼ ac).
F.
Comprobar mediante un c2 que la segregación
combinada de los loci B, b y C, c no se ajusta a la
sperada en caso de
independencia (¼ BC, ¼ Bc, ¼ bC, ¼ bc).
G. Comprobar
que la segregación combinada de los tres loci A, a; B, b y C, c no se ajusta a
la esperada
en caso de independencia (1/8 ABC, 1/8 ABc, 1/8 AbC, 1/8 aBC,
1/8 Abc, 1/8 aBc, 1/8 abC y 1/8 abc).
Una vez demostrada la existencia de ligamiento entre los tres
loci, el objetivo del problema de los tres puntos es deducir a partir de los
datos de una descendencia:
1) El orden relativo de los tres
loci, es decir, determinar el locus que ocupa la posición central.
2) Calcular los valores de la
fracción de recombinación (r1 y r2) entre el locus central y cada uno de
los extremos, y entre los dos loci extremos (r).
3) Calcular el valor del
coeficiente de coincidencia (c) y de la interferencia (I) entre los tres loci.
Para ello, vamos a suponer que estamos analizando la
descendencia de un cruzamiento prueba entre un individuo triheterocigoto
(AaBbCc) en fase de acoplamiento (ABC/abc) y un homocigoto recesivo
(aabbcc).
Nuestro primer objetivo será averiguar el orden de estos tres
loci sobre el mismo cromosoma, es decir, determinar cual es el locus que ocupa
la posición central. Esta cuestión puede ser resuelta de dos formas distintas:
1. En un cruzamiento prueba como
el indicado (AaBbCc x aabbcc), suponiendo
Que los tres loci están en fase de acoplamiento (ABC/abc) y
que el locus central es el B, b; se esperan ocho clases de descendientes. Las
dos clases más frecuentes serán las procedentes de gametos parentales formados
cuando no se da sobre cruzamiento entre los loci analizados: ABC y abc. Las dos
clases menos frecuentes serán las dobles recombinantes, procedentes de gametos
originados cuando se da sobre cruzamiento entre el locus A, a y el locus B, b y
también entre el locus B, b y el locus C, c: AbC y aBc. Aquel locus cuyo
intercambio de alelos en las clases dobles recombinantes reconstituye las
clases parentales será el central. En el caso que nos ocupa, el único locus que
cumple esta condición es el B, b.
b) La otra forma de determinar el locus central
consiste en calcular las distancias genéticas entre los tres
loci considerados. La distancia genética es el valor de la fracción de
recombinación en tanto por cien. La distancia mayor corresponderá a los dos
loci extremos. En este caso, la mayor distancia genética correspondería a la
encontrada entre los loci A, a y C, c. Por tanto, el locus central sería el B, b.
Es importante destacar que para determinar el locus central y
calcular las fracciones de recombinación y distancias genéticas es necesario
analizar los tres loci en los mismos descendientes. Podría darse el caso
(normalmente bastante frecuente) de que no se haya podido determinar el
fenotipo de algunos individuos para alguno de los tres loci estudiados. Por
ejemplo, en un individuo AB- se habría determinado su fenotipo A para el locus
A, a, su fenotipo B para el locus B, b y no se habría podido averiguar su
constitución genética en el locus C, c. En otro individuo de la descendencia
puede ser otro locus diferente el que no se haya podido analizar. Para
determinar el orden es necesario emplear descendientes en los que haya sido
posible determinar el fenotipo en los tres loci estudiados. Posteriormente,
calculamos los valores de la fracción de recombinación.
Fracción de recombinación entre A, a y B, b; r1:
Fracción de recombinación entre B, b y C, c; r2:
Fracción de recombinación entre A, a y C, c; r:
Teniendo en cuenta que el locus central es el B, b, el mayor
valor de la fracción de recombinación corresponderá a r. Por último, calculamos
el coeficiente de coincidencia (c) que se define como la frecuencia de los
dobles sobre cruzamientos observados frente a los dobles sobre cruzamientos
esperados.
El coeficiente de coincidencia (c) nos permite saber si se da
interferencia cromosómica (I), es decir, si el hecho de que se de un sobre
cruzamiento en una determinada región (por ejemplo entre el locus A, a y el B, b)
favorece o impide el que se den más sobre cruzamientos en una región próxima a
la anterior (por ejemplo entre el locus B, b y el C, c). La interferencia
(I) se define como I = 1 - c, pudiendo ser positiva cuando c es menor que uno y
negativa cuando c es mayor que 1. Cuando c es igual a 1 (igual cantidad de
dobles sobre cruzamientos observados y esperados) se dice que no hay
interferencia.
En el planteamiento directo sabemos que tres loci están
ligados, conocemos las frecuencias de recombinación y (r1, r2 y r),
el valor del coeficiente de coincidencia (c) y la interferencia (I). A partir
de estos datos, lo que se pretende es calcular las frecuencias de los gametos
que produce un triheterocigoto (AaBbCc) y, por consiguiente, las frecuencias de
los 8 fenotipos distintos de la descendencia obtenida en un cruzamiento prueba
(AaBbCc x aabbcc).
En el siguiente esquema se indican los ocho tipos de gametos
que produce un triheterocigoto en fase de acoplamiento (ABC/abc), así como las
frecuencias de los ocho tipos de individuos de la descendencia (ocho
fenotipos).
En el esquema anterior hemos visto los 8 tipos de gametos que
produce el parental triheterocigoto en fase de acoplamiento, hemos clasificado
los gametos en base a si se da sobre cruzamiento sólo en la región I (entre A, a
y B, b), sólo en la región II (entre B, b y C, c), en ambas zonas I y II (uno
entre A, a y B, b y el otro entre B, b y C, c) y cuando no se da ningún sobre
cruzamiento.
La suma de las frecuencias de los 8 tipos de gametos debe ser
la unidad: 2y + 2z + 2t + 2x = 1 (total gametos).
El valor del coeficiente de coincidencia (c) es:
El valor de la fracción de recombinación en la
región I se calcularía como:
El valor de la fracción de recombinación en la región II se
obtendría de la siguiente forma:
Teniendo en cuenta que conocemos el valor del coeficiente de
coincidencia (c); el valor de la fracción de recombinación en la región I (r1),
y el valor de la fracción de recombinación en la región II (r2). Lo mejor es
despejar el valor de la frecuencia “t” (gameto doble recombinante) en la
fórmula del coeficiente de coincidencia:
Teniendo en cuenta que se trata de un cruzamiento prueba y
que, por tanto, los fenotipos de la descendencia coinciden con los gametos
producidos por el individuo triheterocigoto, las frecuencias de los diferentes
tipos de gametos indicados coincidirían con las de los 8 fenotipos distintos
obtenidos en el cruzamiento.
Estos son algunos de los métodos más sobresalientes para
resolver la diferenciación numérica o mejor conocida como la derivada. Tomando
en cuenta que en realidad existen muchos métodos para poder resolver distintos
casos especiales que suelen presentarse en la vida cotidiana.
INTEGRACIÓN NUMÉRICA
En
análisis numérico la integración numérica constituye una amplia gama de
algoritmos para calcular el valor numérico de una integral definida y, por
extensión, el término se usa a veces para describir algoritmos numéricos para
resolver ecuaciones diferenciales. El término cuadratura numérica (a menudo
abreviado a cuadratura) es más o menos sinónimo de integración numérica,
especialmente si se aplica a integrales de una dimensión a pesar de que para el
caso de dos o más dimensiones (integral múltiple) también se utilizan. El
problema básico considerado por la integración numérica es calcular una
solución aproximada a la integral definida:
Este problema también puede ser enunciado como un problema de valor inicial para una ecuación diferencial ordinaria, como sigue:
Encontrar y(b) es equivalente a calcular la integral. Los métodos desarrollados
para ecuaciones diferenciales ordinarias, como el método de Runga-Kutta pueden
ser aplicados al problema reformulado. En este artículo se discuten métodos
desarrollados específicamente para el problema formulado como una integral
definida. Razones para la integración numérica Hay varias razones para llevar a
cabo la integración numérica. La principal puede ser la imposibilidad de
realizar la integración de forma analítica. Es decir, integrales que
requerirían de un gran conocimiento y manejo de matemática avanzada pueden ser
resueltas de una manera más sencilla mediante métodos numéricos. Incluso
existen funciones integrables pero cuya primitiva no puede ser calculada,
siendo la integración numérica de vital importancia. La solución analítica de
una integral nos arrojaría una solución exacta, mientras que la solución
numérica nos daría una solución aproximada. El error de la aproximación, que
depende del método que se utilice y de qué tan fino sea, puede llegar a ser tan
pequeño que es posible obtener un resultado idéntico a la solución analítica en
las primeras cifras decimales.
MÉTODO DEL TRAPECIO
La regla del trapecio es
la primera de las formulas cerradas de integración de Newton Cotes. Corresponde
al caso donde el polinomio de la ecuación es de primer grado:
Una línea recta se puede
representar como:
El área bajo esta línea
recta es una aproximación de la integral de ƒ(×) entre los
limites ɑ y b:
El resultado de la
integración es:
Que se denomina regla del
trapecio.
Obtención de la regla del
trapecio
Antes de la integración,
la ecuación se puede expresar como:
Agrupando los últimos 2
términos:
La cual puede integrarse
entre x= ɑ y x =b para obtener:
Que
es la fórmula para la regla del trapecio.
Geométricamente, la regla
del trapecio es equivalente a aproximar el área del trapecio bajo la línea
recta que une ƒ (ɑ) y ƒ (b). Recuerde que la formula para calcular el area de
un trapezoide es la altura por el promedio de las bases. En nuestro caso, el
concepto es el mismo, pero el trapezoide esta sobre su lado. Por lo tanto, la
integral aproximada se representa como:
I aprox.= ancho x altura promedio
Error de la regla del
trapecio
Cuando empleamos la
integral bajo un segmento de línea recta para aproximar la integral bajo una
curva, obviamente se tiene un error que puede ser importante. Una estimación al
error de truncamiento local para una sola aplicación de la regla del trapecio
es:
Donde ᵹ está en algún
lugar en el intervalo de ɑ a b. La ecuación indica que si la función sujeta a
integración es lineal, la regla del trapecio será exacta. De otra manera, para
funciones con derivadas de segundo orden y de orden superior (es decir, con
curvatura), puede ocurrir algún error.
INTEGRACIÓN DE ROMBERG
La integración de romberg es una técnica diseñada para
obtener integrales numéricas de funciones de manera eficiente, que se basa en
aplicaciones sucesivas de la regla del trapecio. Sin embargo, a través de las
manipulaciones matemáticas, se alcanzan mejores resultados con menos trabajo.
El algoritmo de integración de romberg.
Observe que los coeficientes en cada una de las ecuaciones de
extrapolación suman 1. De esta manera, representan factores de
ponderación que, conforme aumenta la exactitud, dan un peso relativamente mayor
a la mejor estimación de la integral. Estas formulaciones se expresan en una
forma general muy adecuada para la implementación en computadora:
Donde 1ʲ+1k-1 eIjk-1 = las integrales más y menos
exactas, respectivamente; e Ijk=Ia integral mejorada. El subíndice k significa
el nivel de la integración donde k=1 corresponde a la
estimación original con la regla del trapecio, k=2corresponde
a 0(h⁴), k=3 a 0(h⁶) y asi
sucesivamente. El subíndice j se usa para distinguir entre las estimaciones mas
(j+1) i meno (j) exactas. Por ejemplo, con k=2 y j =1, la ecuación (22.8) se
convierte en
Que es equivalente a la
ecuación
La forma general representada por la ecuación se
atribuye a Romberg, y su aplicación sistemática para evaluar integrales se
denomina integración de Romberg. La figura 22.3 es una representación grafica
de la sucesión y estimaciones de la integral generadas usando este procedimiento.
Cada matriz corresponde a una sola iteración.
La primera columna contiene las evaluaciones de la regla del
trapecio, designadas por I j,1 , donde j=1 indica una
aplicación con un solo segmento (el tamaño de paso es b-a) , j=2 corresponde a
una aplicación con dos segmentos [el tamaño de paso es (b-a)/2],
j=3 corresponde a una aplicación de cuatro segmentos [el tamaño de paso
es (b-a)/4], y así sucesivamente. Las otras columnas de la matriz
se generan mediante la aplicación sistemática de la ecuación para obtener
sucesivamente mejores estimaciones de la integral.
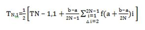
Si TN.1es el valor calculado de la integral (en donde 2N
corresponde al número de intervalos los de 1 es el orden del polinomio de
interpolación usado):
Usado para el cálculo numérico la formula de los trapecios. T0, 1 seria el
primer estimado; es decir, usando directamente las formulas de los trapecios;


T1,1 seria el estimado para dos intervalos idénticos de ancho
(b-a)/2:
En general:
La formula de extrapolación de Richardson puede ser utilizada para cada par de
secuencia T0,1,…..TN,1. Por ejemplo:
La secuencia del método de Romberg que explicada, puede ser
presentada en forma tabular como s inicia a continuación:
Construcción de la tabla de Romberg
i/j
|
1
|
2
|
3
|
4
|
5
|
6
|
7
|
0
|
T0,1
|
T0,2
|
T0,3
|
T0,4
|
T0,5
|
T0,6
|
T0,7
|
1
|
T1,1
|
T1,2
|
T1,3
|
T1,4
|
T1,5
|
T1,6
|
|
2
|
T2,1
|
T2,2
|
T2,3
|
T2,4
|
T2,5
|
||
3
|
T3,1
|
T3,2
|
T3,3
|
T3,4
|
|||
4
|
T4,1
|
T4,2
|
T4,3
|
||||
5
|
T5,1
|
T5,2
|
|||||
6
|
T6,1
|
MÉTODO DEL SIMPSON
Además de aplicar la regla del trapecio con una segmentación
mas fina, otra forma de obtener una estimación más exacta de una integral
consiste en usar polinomios de grado superior para unir los puntos. Por
ejemplo, si hay otro punto a la mitad entre ƒ (ɑ) y ƒ (b), los tres
puntos se pueden unir con una parábola. Si hay dos puntos igualmente espaciados
entre ƒ (ɑ) y ƒ (b), los cuatro puntos se pueden unir mediante un
polinomio de tercer grado. Las formulas que resultan de tomar las integrales
bajo esos polinomios se conocen como reglas de Simpson.
Regla de Simpson
La regla se Simpson ⅓ resulta cuando un polinomio de
interpolación de segundo grado se sustituye en la ecuación:
Si se designan ɑ y b como xₒ y x₂ , y ƒ₂ (x) se representan por un polinomio de Lagrange
de segundo grado, la integral se transforma en:
Después de la integración y de las manipulaciones algebraicas
se obtiene la siguiente formula:
Donde, en este caso, h=(b - ɑ)/2. Esta ecuación
se conoce como regla de Simpson 1/3, y es la segunda fórmula de
integración cerrada de Newton-Cotes. La especificación “1/3” se origina del
hecho de que h está dividida en 3 en la ecuación.
OBTENCIÓN Y ESTIMACIÓN DEL ERROR DE LA REGLA DE SIMPSON 1/3
Como se hizo en el cuadro 21.2 para la regla del trapecio, la
regla de Simpson 1/3 se obtiene al integrar el polinomio de interpolación de
Newton-Gregory hacia adelante:
Observe que se escribió el polinomio hasta el término de
cuarto grado, en lugar de hasta el de tercer grado como se esperaría. La razón
de esto se vería un poco después. Advierta también que los limites de
integración van de xₒ a x₂. Por lo tanto, cuando se realizan las sustituciones para
simplificar.
La integral es de
La integral es de
y evaluando en los limites se obtiene:
Observe el resultado significativo de que el coeficiente de
la tercera diferencia dividida es cero. Debido a que ∆ƒ(xₒ)= ƒ(x₁)- ƒ(xₒ) y ∆²ƒ(xₒ) = ƒ(x₂)- 2ƒ(x₁)+ƒ(xₒ), la ecuación
(C21.3.1) se reescribe como:
Así, el primer termino es la regla de Simpson 1/3 y el
segundo es el error de truncamiento. Puesto que se suprime la tercera
diferencia dividida, se obtiene el resultado significativo de que la formula
tiene una precisión de tercer orden.
Como se esperaba. Observe que la precisión no es tan buena como la obtenida con la fórmula de cinco puntos.
INTEGRACIÓN
MÚLTIPLES
Las integrales múltiples se utilizan a menudo en
la ingeniería. Por ejemplo, una ecuación general para calcular el promedio de
una función bidimensional puede escribirse como sigue:
Al numerador se le llama integral doble.
Las técnicas estudiadas en este capítulo (y en
el siguiente) se utilizan para evaluar integrales múltiples. Un ejemplo
sencillo seria obtener la integral doble de una función sobre un área
rectangular. Recuerde del cálculo de dichas integrales se pueden calcular como
integrales iteradas.
Primero se evalúa la integral en una de
las dimensiones y el resultado de esta primera integración se incorpora en la
segunda integración.
Una integral numérica doble estará basada en la
misma idea. Primero se aplican métodos, como la regla de Simpson o del trapecio
para segmentos múltiples, a la primera dimensión manteniendo constante los
valores de la segunda dimensión. El procedimiento se ilustra en el ejemplo
siguiente.
EJEMPLOS
Y APLICACIONES
EJEMPLO DIFERENCIACIÓN NUMÉRICA FÓRMULA DE 5 PUNTOS.
Consideremos la siguiente tabla de datos
x |
F(x)=e^x
|
0.00
|
1.00
|
0.01
|
1.010050167
|
0.02
|
1.02020134
|
0.03
|
1.030454534
|
0.04
|
1.040810774
|
0.05
|
1.051271096
|
0.06
|
1.061836547
|
0.07
|
1.072508181
|
0.08
|
1.083287068
|
0.09
|
1.094174284
|
Estimar f'(0.05) y f'(0.08) .
SOLUCIÓN. Para estimar f'(0.05) se puede
usar la fórmula de cinco puntos mientras que para estimar
f'(0.08) podemos usar
una fórmula de tres puntos, para ser exactos, la fórmula apropiada es la
fórmula para f'(x1).
Estimación de f'(0.05) con la fórmula de cinco puntos. Seleccionamos cinco puntos de tal manera que, x2=0.05.
x
|
f(x)=e^x
|
0.00
|
1
|
0.01
|
1.010050167
|
0.02
|
1.02020134
|
0.03
|
1.030454534
|
0.04
|
1.040810774
|
0.05
|
1.051271096
|
0.06
|
1.061836547
|
0.07
|
1.072508181
|
0.08
|
1.083287068
|
0.09
|
1.094174284
|
Ahora aplicamos la fórmula, como h=0.01
Como se esperaba ya que (e^x)'=e^x
Estimación de f '(0.08) con la
fórmula de tres puntos para estimar f '(x1) .
Seleccionamos tres puntos de tal manera que, x1=0.08.
X
|
f(x)=e^x
|
0.00
|
1.00
|
0.01
|
1.010050167
|
0.02
|
1.02020134
|
0.03
|
1.030454534
|
0.04
|
1.040810774
|
0.05
|
1.051271096
|
0.06
|
1.061836547
|
0.07
|
1.072508181
|
0.08
|
1.083287068
|
0.09
|
1.094174284
|
Ahora aplicamos la fórmula, como h=0.01
Como se esperaba. Observe que la precisión no es tan buena como la obtenida con la fórmula de cinco puntos.
EJEMPLO DE INTEGRACIÓN NUMÉRICA DEL MÉTODO DEL TRAPECIO.
1.
Aplicación simple de la regla
del trapecio.
*Planteamiento del problema.
Con la ecuación integre numéricamente
Desde a=0 hasta b=0.8, recuerde de la sección
PT6.2 que el valor exacto de la integral se puede determinar en forma analítica
y es 1.640533.
SOLUCION: al evaluar la función en los limites
f(0)=0.2
f(0.8)=0.232
Sustituyendo la ecuación se tiene que
f(0)=0.2
f(0.8)=0.232
Sustituyendo la ecuación se tiene que
La cual representa un error de:
Que corresponde a un error relativo porcentual de Ɛ1=89.5%. En situaciones
reales, tal vez no conozcamos previamente el valor verdadero. Por lo tanto, se
requiere una estimación del error aproximado.
EJEMPLO DE INTEGRACIÓN
NUMÉRICA MULTIPLE.
Planteamiento del problema: suponga que la
temperatura en una placa rectangular se describe mediante la siguiente función:
Si la placa tiene 8m de largo (dimensión x) y 6m de ancho (dimensión y),
calcule la temperatura promedio.
SOLUCION:
Primero se usara la regla del trapecio con dos
segmentos en cada dimensión. Observe que un promedio simple de estos valores es
47.33. La función también se evalúa analíticamente, cuyo resultado seria
58.66667.
Para realizar numéricamente la misma evaluación
se emplea primero la regla del trapecio a lo largo de la dimensión x con cada
uno de los valores de y. Estos valores se integran después a lo largo de la
dimensión y para dar como resultado final 2688. Dividiendo este entre el área
se obtiene la temperatura promedio: 2668/(6×8)=56.
También podemos emplear la regla de Simpson 1/3
de la misma manera con un solo segmento. Esta integral da como resultado de
2816 y un promedio de 58.66667, que es exacto. ¿Por qué pasa esto? Recuerde que
la regla de Simpson 1/3 dio resultados perfectos con polinomios cúbicos. Como
el término del grado mayor en la función es de segundo grado, en el
presente caso se obtiene el mismo resultado exacto.
Para funciones algebraicas de grado superior,
así como funciones trascendentes, será necesario emplear segmentos múltiples
para obtener estimaciones exactas de la integral. Estas con frecuencia
proporcionan mejores recursos para la integración numérica de integrales
múltiples.
EJEMPLO DE INTEGRACIÓN NUMÉRICA
CON SIMPSON Y TRAPECIO COMPUESTO.
Integre la
siguiente función de manera analítica. Después emplee las reglas del trapecio y
la de Simpson 1/3 para integrar numéricamente la función. En ambos casos, use
la versión de aplicación múltiple con n=4. Calcule los errores relativos
porcentuales de los resultados numéricos.
CONCLUSION
Como se
mostró existen diferentes formulas para la realización de diferenciales y
pudimos notar que algunas tienen un grado de dificultad mayor que otras pero la
utilización de ellas depende del tipo de diferencial a resolver, es decir del
tipo de problema a enfrentar, debemos saber identificar cuál de ellas utilizar
para su correcta resolución. Lo mismo sucede son los diferentes métodos de
integración numérica ya que también existen diversos procedimientos pero la
buena resolución de un problema de integración se deberá del uso correcto y la
buena identificación del tipo de método a utilizar.
" INSTITUTO TECOLOGICO DE TEPIC "
ING. ROBERTO ORAMAS BUSTILLOS
MÉTODOS NUMÉRICOS
INTEGRANTES:
CRISTINA FIGUEROA MACIAS
GUSTAVO FLORES VIDAURI
VIDAL OSWALDO DIAZ BECERRA
VIDAL OSWALDO DIAZ BECERRA
JOSE ALEJANDRO LEGORRETA MURRILLO
OMAR EDUARDO MIRAMONTES PRADO
OSCAR ABDIEL ALTAMIRANO MORELOS
URIEL GARCIA SIXTO
RICARDO RUBIO RAMIREZ
RAMON CASILLAS MARTINEZ
INGENIERIA ELECTRICA
4º SEMESTRE 3ª










































































No hay comentarios:
Publicar un comentario